FICHA DESCRITIVA DO INDICADOR IPFV
Definição: Trata-se de um indicador de melhoria da previsão da geração solar fotovoltaica que compara desvios mensais entre os valores previstos e os verificados com referências baseadas em desvios mensais históricos. Observa-se que em um primeiro momento, os desvios são calculados em base diária por subsistema, sendo, posteriormente, agregados em base mensal. Ao final, o indicador, que é a razão entre o desvio mensal do ano corrente e o desvio histórico, é consolidado em granularidade anual, abarcando toda a dimensão do SIN.
Objetivo: Avaliar a performance das previsões de geração solar fotovoltaica, que são disponibilizadas à programação diária da operação do ONS em relação aos desvios médios históricos, na escala do SIN.
É importante ressaltar que as previsões disponibilizadas ainda podem ser alteradas a partir de informações meteorológicas mais atualizadas, antes de serem utilizadas na programação diária. Adicionalmente, as alterações incluem as restrições físicas dos parques e/ou sistema elétrico no montante de geração solar fotovoltaica previsto.
Benefícios esperados: Melhoria do processo da programação diária da operação; do dimensionamento de grandezas de confiabilidade eletroenergética e do cálculo dos CMOs (Custos Marginais da Operação).
Agregação espacial: Cálculo para cada subsistema com significativa capacidade instalada de geração solar fotovoltaica (atualmente SE e NE). Posteriormente agregação para o Sistema Interligado Nacional - SIN.
Agregação temporal: O indicador é baseado em previsões semi-horárias, com desvios em base diária. Todavia, o IPFv é calculado mensalmente sendo, posteriormente, agregado em base anual.
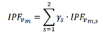
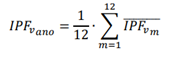
Fórmulas:
Onde: 𝐼𝑃𝐹𝑣𝑚,𝑠 é o indicador mensal de previsão de geração solar fotovoltaica em cada subsistema do SIN; 𝐸𝑚,𝑠𝐻𝐼𝑆𝑇 é a média dos desvios mensais de previsões desempenhadas nos cinco anos anteriores ao ano em curso; 𝐸𝑚,𝑠 é o desvio médio computado para o mês m, no subsistema s.

Onde: 𝐼𝑃𝐹𝑣𝑚 é o indicador mensal de previsão de geração solar fotovoltaica na dimensão do SIN e 𝛾𝑠 é o peso de cada subsistema interveniente (NE e SE).

Onde 𝐼𝑃𝐹𝑣𝑎𝑛𝑜 traduz a média dos doze valores mensais do 𝐼𝑃𝐹𝑣𝑚 , delimitados segundo o calendário civil de cada ano.
Meta: 𝐼𝑃𝐹𝑣=100%.
Interpretação: O indicador medirá, em termos médios e ao longo de uma janela anual, a performance da previsão de geração solar fotovoltaica em relação ao histórico, sendo esse histórico o reflexo da previsão realizada nos últimos 5 anos. Quanto maior for o valor apurado, mais acurada terá sido a previsão de geração solar fotovoltaica disponibilizada à programação diária da operação do ONS em determinado ano, comparativamente aos anos predecessores.
Observações:
Os dados de previsão de geração solar fotovoltaica são produzidos em granularidade semi-horária e agregados diariamente no processo de cálculo do indicador. Adicionalmente, são disponibilizadas sete previsões para cada dia, isto é, previsões de um a sete dias à frente (D+1 a D+7). As sete previsões são combinadas de forma ponderada para gerar a previsão que será computada no cálculo do desvio, sendo que as previsões do tipo D+1 possuem os maiores pesos.